DNA เป็นสารพันธุกรรมที่สำคัญของมนุษย์ ซึ่งองค์ประกอบพื้นฐานของ DNA คือกรดนิวคลิอิก โดยกรดนิวคลิอิกถูกแยกออกมาจากสาย DNA ครั้งแรกโดยโยฮันน์ ฟรีดริช มีเซอร์ ซึ่งก่อนหน้านั้นเคยมีนักชีวเคมีท่านหนึ่งตั้งข้อสันนิษฐานว่า DNA ประกอบด้วยกรดนิวคลิอิก นักชีวเคมีท่านนั้นคือ Phoebus Levene

Phoebus Levene หรือPhoebus Aaron Theodor Levene เกิดในครอบครัวคนยิวกลุ่มที่พื้นเพมาจากลิทัวเนีย (Litvaks) เมื่อวันที่ 25 กุมภาพันธ์ 1869 ที่เมือง Sagor ซึ่งเป็นส่วนหนึ่งของจักรวรรดิรัสเซียในขณะนั้น และได้เข้าเรียนที่วิทยาลัยแพทย์ทหารที่กรุงเซนต์ปีเตอร์เบิร์ก จนกระทั้งปี 1891 กระแสการต่อต้านชาวยิวที่รุนแรงในรัสเซีย ทำให้ครอบครัวต้องอพยพไปสหรัฐอเมริกา ส่วนเขายังคงศึกษาต่อจนจบวิทยาลัยแพทย์ทหารใน 1 ปีต่อมาก่อนที่จะย้ายถิ่นฐานตามครอบครัวไปเป็นแพทย์ที่ย่าน Lower East Side ของสหรัญอเมริกาซึ่งเป็นย่านคนยิวแห่งหนึ่งของอเมริกา

ที่มา : https://www.tenement.org/explore/lower-east-side/
เขามีความสนใจทางด้านชีวเคมีเป็นอย่างมาก ทำให้เขาเข้าเรียนภาคพิเศษที่มหาวิทยาโคลัมเบีย ก่อนที่จะตีพิมพ์ผลงานแรกอย่างเป็นทางการในปี 1894 โดยผลงานแรกของเขาเกี่ยวข้องกับโครงสร้างทางเคมีของน้ำตาล ซึ่งต่อมาเขาได้ผันตัวมาทำงานในแล็บชีวเคมีอย่างเต็มตัวจนกลายมาเป็นหัวหน้าห้องแล็บที่มหาวิทยาลัย Rockefeller จัดตั้งขึ้นมาใหม่
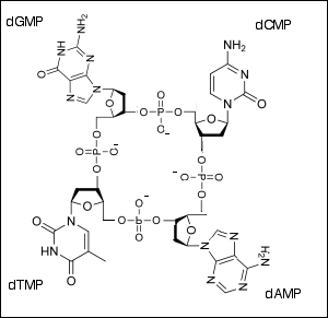
ผลงานโดดเด่นของเขาคือการค้นพบว่ากรดนิวคลิอิกประกอบด้วยน้ำตาล-ฟอสเฟต-เบส ซึ่งเราได้เสนอสมมุติฐาน Tetranucleotide Theory of DNA ที่เสนอว่า DNA ประกอบด้วยกรดนิวคลิอิก 4 ชนิดที่มีอัตราส่วนเท่ากัน ซึ่งต่อมานักวิทยาศาสตร์ได้ยืนยันแล้วว่าสมมุติฐานเขาเป็นจริง เพียงแต่กรดนิวคลิอิกไม่ได้เท่ากันหมดทุกตัวแต่เท่ากันเฉพาะตัวที่จำคู่เบสกันเท่านั้น (G=C≠A=T)

การค้นพบกรดนิวคลิอิกและข้อสันนิษฐานของเขาได้กลายเป็นรากฐานในการพิสูจน์ว่ากรดนิวคลิอิกคือองค์ประกอบที่สำคัญของสารพันธุกรรมต่าง ๆ เขาจึงเป็นคนที่วางรากฐานคนหนึ่งของการค้นพบ DNA ในอนาคต